一道考查“构造函数比较大小”的好试题-——评析2022年新高考数学1卷第7题
摘要
关键词
正文
比较数与式的大小一直是高考的热点。高考对本部分内容的要求,主要是指数式、对数式的互化,以及构造函数比较大小。前些年通常考查利用幂函数、指数函数与对数函数的单调性比较大小,近几年考查趋势转移到构造复杂的函数,利用导数研究所构造函数的单调性,再通过赋值比较大小。要求学生具有一定的数学运算素养、以及分析问题解决问题的能力,主要考查数学运算与逻辑推理的核心素养。
2022年新高考数学1卷第7题,充分体现了这一理念,是考查“构造函数比较大小”的一道好题,下面我们一起来分析这道题目。


本题考查比较大小问题,难度较大,关键难点是将各个值中的共同的量用变量替换,构造函数,通过移项构造函数的方法构造新函数,利用导数研究相应函数的单调性,进而比较大小,这样的问题,凭借近似估计计算往往是无法解决的.
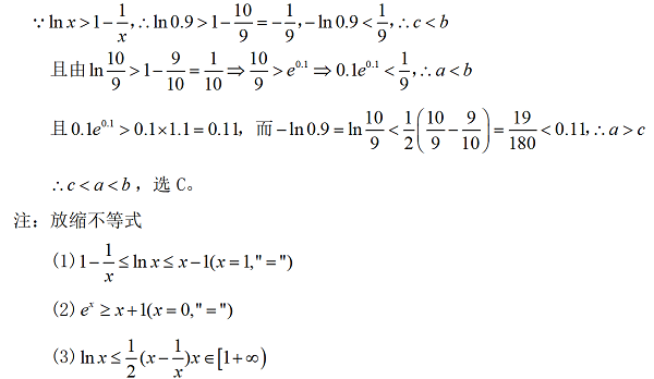
解法二:

该思路主要是根据题干数与式的特点进行赋值,得出不等关系式,其实也是再利用得出的不等关系作为条件,利用不等式性质进行推理论证。对于出现频率较高的放缩不等式,笔者认为要熟记活用。
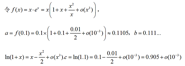
解法三:


该思路解法的背景源于,全日制普通高中教科书(必修)《数学第一册》(2009年版)复习参考题5拓广探索第26题:英国数学家泰勒发现了如下公式:
,
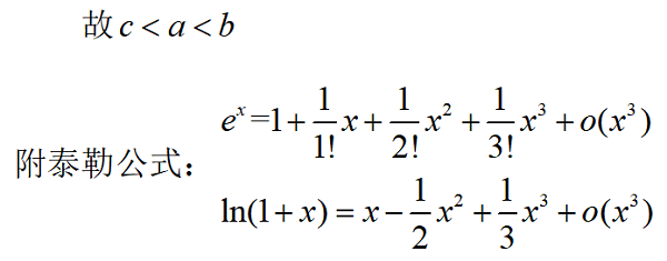
,根据泰勒公式构造函数,在高中阶段也理解成二项式定理的应用。泰勒公式(二项式定理)在这里能将一些复杂的函数变成我们熟悉的多项式函数,能起到化繁为简的功能,在近似计算、不等式证明等方面发挥着重要的作用。
通过一道高考真题对构造函数比较大小进行研析,笔者认为从近年来课改试题的特点来看,此类题目加大了思维量,减少了运算量,主要培养学生探索能力和思维能力,尽管运算量不大,但思维灵活,有较大难度,不仅考查指数函数、对数函数,还考查了利用导数求单调性,不等式性质等基础知识,同时考查了推理论证能力,分析问题和解决问题的能力,培养逻辑推理、数学建模、数学运算等数学核心素养。
...